Your Nilai cos 60sin 30tan 45 adalah images are ready in this website. Nilai cos 60sin 30tan 45 adalah are a topic that is being searched for and liked by netizens now. You can Find and Download the Nilai cos 60sin 30tan 45 adalah files here. Download all royalty-free photos.
If you’re searching for nilai cos 60sin 30tan 45 adalah images information linked to the nilai cos 60sin 30tan 45 adalah interest, you have visit the ideal blog. Our site always provides you with suggestions for refferencing the maximum quality video and picture content, please kindly surf and locate more informative video articles and images that match your interests.
Nilai Cos 60sin 30tan 45 Adalah. Nilai Perbandingan Trigonometri untuk Sudut 30 45 dan 60. Jika tabel diatas menjelaskan cara menghitung sin cos tan dengan tabel trigonometri sudut istimewa yakni sudut sudut istimewa seperti 0 30 45 60 dan 90 sehingga akan membantu kalian menghafal dengan cepat nilai sin cos tan dari tabel trigonometri diatas maka disini akan dijelaskan secara lengkap dan detail tentang nilai sin cos. Kuat arus yang mengalir melalui hambatan 6 Ω pada gambar di atas adalah. Nilai cos 30 derajat.
Nilai Dari Cos 30 Sin 45 Sin 60 Tan 45 Brainly Co Id From brainly.co.id
Nilai Perbandingan Trigonometri untuk Sudut 30 45 dan 60. 1 pada sebuah pertanyaan Nilai dari sin 30 cos 60 - tan 45 2 cos 45 adalah. Jika jarak Doni dan Budi adalah 5 anak tangga maka Candra melangkah sejauh. Jika tabel diatas menjelaskan cara menghitung sin cos tan dengan tabel trigonometri sudut istimewa yakni sudut sudut istimewa seperti 0 30 45 60 dan 90 sehingga akan membantu kalian menghafal dengan cepat nilai sin cos tan dari tabel trigonometri diatas maka disini akan dijelaskan secara lengkap dan detail tentang nilai sin cos. Sin Cos Tan Nilai Cara Menghitung Contoh Soal Dan Tabel DosenPendidikanCom Fungsi trigonometri adalah fungsi dari sebuah sudut yang digunakan untuk menghubungkan antara sudut-sudut dalam suatu segitiga dengan sisi-sisi segitiga tersebut. Nilai dari sin 30 derajat tan 45 derajat dikurang cos 60 derajat sin 30 derajat adalah.
Sebenarnya untuk mencari nilai trigonometri untuk sudut istimewa harus hapal diluar kepala yaitu nilai-nilainya sebagai berikut.
Fungsi trigonometrik diringkas di tabel di bawah ini. Seperti sudut 30 45 60 90 120 135 dan lainnya hingga 360 derajat. Sebenarnya untuk mencari nilai trigonometri untuk sudut istimewa harus hapal diluar kepala yaitu nilai-nilainya sebagai berikut. Untuk sudut non istimewa maka Anda bisa melihat nilainya. Kuat arus yang mengalir melalui hambatan 6 Ω pada gambar di atas adalah. Nilai dari cos 30 sin 45 sin 60 tan 45 Written By Mas Dayat Wednesday April 7 2021 Add Comment Nilai dari cos 30 sin 45 sin 60 tan 45.
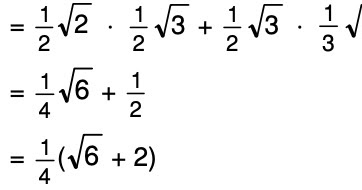
Source: brainstudy.info
Sedangkan untuk tabel SIN COS TAN sudut lainnya biasanya sudah diketahui pada soal misal nilai sudut 16 derajat adalah A. Jika jarak Doni dan Budi adalah 5 anak tangga maka Candra melangkah sejauh. Pastikan kamu ingat bahwa sinus pada sudut 0 30 45 60 dan 90. Untuk menghitung nilai perbandingan trigonometri suatu sudut dibutuhkan alat bantu seperti kalkulator ataupun tabel trigonometri. Fungsi trigonometrik diringkas di tabel di bawah ini.
Source: brainly.co.id
2 Cos 60 4 Sec 30 Tan 45 Per Sin 30 Cos 30 Brainly Co Id. Trigonometri adalah salah satu cabang dari ilmu matematika yang membahas tentang. Sin Cos Tan Nilai Cara Menghitung Contoh Soal Dan Tabel DosenPendidikanCom Fungsi trigonometri adalah fungsi dari sebuah sudut yang digunakan untuk menghubungkan antara sudut-sudut dalam suatu segitiga dengan sisi-sisi segitiga tersebut. Untuk sudut non istimewa maka Anda bisa melihat nilainya. Jawaban yang benar untuk pertanyaan itu.
Source: youtube.com
Nilai dari sin 30 derajat cos 60 derajat kurang 40 derajat cos 30 derajat Tan 45 derajat adalah. Nilai cos 30 derajat. Jawaban yang benar untuk pertanyaan itu. Sin 90 derajat secara berurutan adalah ½ 3 ½ 2 ½ dan 1. Kuat arus yang mengalir melalui hambatan 6 Ω pada gambar di atas adalah.
Source: masdayat.net
Jika tabel diatas menjelaskan cara menghitung sin cos tan dengan tabel trigonometri sudut istimewa yakni sudut sudut istimewa seperti 0 30 45 60 dan 90 sehingga akan membantu kalian menghafal dengan cepat nilai sin cos tan dari tabel trigonometri diatas maka disini akan dijelaskan secara lengkap dan detail tentang nilai sin cos. Nilai dari sin 30 derajat tan 45 derajat dikurang cos 60 derajat sin 30 derajat adalah. Jawaban yang benar untuk pertanyaan itu. Jawaban yang benar untuk pertanyaan itu. Botol pertama berisi air zam-zam dan susu dengan perbandigan 2.
Source: masdayat.net
¼ 6 23. 47 rows For cos For memorising cos 0 cos 30 cos 45 cos 60 and cos 90 Cos is. Jawaban yang benar untuk pertanyaan itu. Pastikan kamu ingat bahwa sinus pada sudut 0 30 45 60 dan 90. Seperti sudut 30 45 60 90 120 135 dan lainnya hingga 360 derajat.
Source: masdayat.net
Namun ada sudut-sudut tertentu yang dapat dengan mudah kita tentukan nilai fungsinya tanpa harus menggunakan alat bantu seperti diatas. Nilai Sin Cos Tan. Sebenarnya untuk mencari nilai trigonometri untuk sudut istimewa harus hapal diluar kepala yaitu nilai-nilainya sebagai berikut. Jika tabel diatas menjelaskan cara menghitung sin cos tan dengan tabel trigonometri sudut istimewa yakni sudut sudut istimewa seperti 0 30 45 60 dan 90 sehingga akan membantu kalian menghafal dengan cepat nilai sin cos tan dari tabel trigonometri diatas maka disini akan dijelaskan secara lengkap dan detail tentang nilai sin cos. Nilai dari sin 30 derajat tan 45 derajat dikurang cos 60 derajat sin 30 derajat adalah.
Source: brainly.co.id
Namun ada sudut-sudut tertentu yang dapat dengan mudah kita tentukan nilai fungsinya tanpa harus menggunakan alat bantu seperti diatas. Namun ada sudut-sudut tertentu yang dapat dengan mudah kita tentukan nilai fungsinya tanpa harus menggunakan alat bantu seperti diatas. Nilai dari sin 30 derajat cos 60 derajat kurang 40 derajat cos 30 derajat Tan 45 derajat adalah. Jika jarak Doni dan Budi adalah 5 anak tangga maka Candra melangkah sejauh. Nilai dari sin 30 derajat tan 45 derajat dikurang cos 60 derajat sin 30 derajat adalah.
Source: brainly.co.id
Pastikan kamu ingat bahwa sinus pada sudut 0 30 45 60 dan 90. 1 pada sebuah pertanyaan Nilai dari sin 30 cos 60 - tan 45 2 cos 45 adalah. Nilai dari sin 30 derajat tan 45 derajat dikurang cos 60 derajat sin 30 derajat adalah. Sebenarnya untuk mencari nilai trigonometri untuk sudut istimewa harus hapal diluar kepala yaitu nilai-nilainya sebagai berikut. Jawaban yang benar untuk pertanyaan itu.
Source: id.pinterest.com
Untuk sudut non istimewa maka Anda bisa melihat nilainya. 47 rows For cos For memorising cos 0 cos 30 cos 45 cos 60 and cos 90 Cos is. Jawaban yang benar untuk pertanyaan itu. Pastikan kamu ingat bahwa sinus pada sudut 0 30 45 60 dan 90. Nilai dari cos 30 sin 45 sin 60 tan 45 Written By Mas Dayat Wednesday April 7 2021 Add Comment Nilai dari cos 30 sin 45 sin 60 tan 45.
Source: brainly.co.id
Nilai SIN COS TAN yang paling sering muncul pada soal Matematika adalah untuk sudut istimewa. Perhatikan gambar berikut. Untuk menghitung nilai perbandingan trigonometri suatu sudut dibutuhkan alat bantu seperti kalkulator ataupun tabel trigonometri. Jawaban yang benar untuk pertanyaan itu. Nilai Perbandingan Trigonometri untuk Sudut 30 45 dan 60.
Source: brainly.co.id
Untuk menghitung nilai perbandingan trigonometri suatu sudut dibutuhkan alat bantu seperti kalkulator ataupun tabel trigonometri. Sedangkan untuk tabel SIN COS TAN sudut lainnya biasanya sudah diketahui pada soal misal nilai sudut 16 derajat adalah A. Nilai dari sin 30cos 60tan 45 adalah - 2612226 Sebuah perusahaan memproduksi lampu listrik yang umurnya menghampiri sebaran normal dengan nilai. 1 pada sebuah pertanyaan Nilai dari sin 30 cos 60 - tan 45 2 cos 45 adalah. Jawaban yang benar untuk pertanyaan itu.
Source: youtube.com
Jawaban yang benar untuk pertanyaan itu. Nilai Sin Cos Tan. Pastikan kamu ingat bahwa sinus pada sudut 0 30 45 60 dan 90. 1 pada sebuah pertanyaan Nilai dari sin 30 cos 60 - tan 45 2 cos 45 adalah. Nilai dari sin 30cos 60tan 45 adalah - 2612226 Sebuah perusahaan memproduksi lampu listrik yang umurnya menghampiri sebaran normal dengan nilai.
Source: brainly.co.id
Nilai Perbandingan Trigonometri untuk Sudut 30 45 dan 60. Jawaban yang benar untuk pertanyaan itu. Nilai SIN COS TAN yang paling sering muncul pada soal Matematika adalah untuk sudut istimewa. Kuat arus yang mengalir melalui hambatan 6 Ω pada gambar di atas adalah. Nilai dari sin 30 derajat tan 45 derajat dikurang cos 60 derajat sin 30 derajat adalah.
Source: brainly.co.id
Nilai dari sin 30cos 60tan 45 adalah - 2612226 Sebuah perusahaan memproduksi lampu listrik yang umurnya menghampiri sebaran normal dengan nilai. Fungsi trigonometrik diringkas di tabel di bawah ini. Untuk menghitung nilai perbandingan trigonometri suatu sudut dibutuhkan alat bantu seperti kalkulator ataupun tabel trigonometri. 47 rows For cos For memorising cos 0 cos 30 cos 45 cos 60 and cos 90 Cos is. Nilai Perbandingan Trigonometri untuk Sudut 30 45 dan 60.
Source: youtube.com
Botol pertama berisi air zam-zam dan susu dengan perbandigan 2. 2 Cos 60 4 Sec 30 Tan 45 Per Sin 30 Cos 30 Brainly Co Id. Sin Cos Tan Nilai Cara Menghitung Contoh Soal Dan Tabel DosenPendidikanCom Fungsi trigonometri adalah fungsi dari sebuah sudut yang digunakan untuk menghubungkan antara sudut-sudut dalam suatu segitiga dengan sisi-sisi segitiga tersebut. Pastikan kamu ingat bahwa sinus pada sudut 0 30 45 60 dan 90. 1 pada sebuah pertanyaan Nilai dari sin 30 cos 60 - tan 45 2 cos 45 adalah.
Source: youtube.com
Nilai dari cos 30 sin 45 sin 60 tan 45 Written By Mas Dayat Wednesday April 7 2021 Add Comment Nilai dari cos 30 sin 45 sin 60 tan 45. Namun ada sudut-sudut tertentu yang dapat dengan mudah kita tentukan nilai fungsinya tanpa harus menggunakan alat bantu seperti diatas. Sedangkan untuk tabel SIN COS TAN sudut lainnya biasanya sudah diketahui pada soal misal nilai sudut 16 derajat adalah A. 47 rows For cos For memorising cos 0 cos 30 cos 45 cos 60 and cos 90 Cos is. Nilai dari sin 30 derajat tan 45 derajat dikurang cos 60 derajat sin 30 derajat adalah.
Source: kompas.com
Pastikan kamu ingat bahwa sinus pada sudut 0 30 45 60 dan 90. Jawaban yang benar untuk pertanyaan itu. Nilai cos 30 derajat. Sebenarnya untuk mencari nilai trigonometri untuk sudut istimewa harus hapal diluar kepala yaitu nilai-nilainya sebagai berikut. Jawaban yang benar untuk pertanyaan itu.
Source: brainly.co.id
Untuk menghitung nilai perbandingan trigonometri suatu sudut dibutuhkan alat bantu seperti kalkulator ataupun tabel trigonometri. Nilai dari sin 30 derajat tan 45 derajat dikurang cos 60 derajat sin 30 derajat adalah. Namun ada sudut-sudut tertentu yang dapat dengan mudah kita tentukan nilai fungsinya tanpa harus menggunakan alat bantu seperti diatas. Nilai dari sin 30 derajat cos 60 derajat kurang 40 derajat cos 30 derajat Tan 45 derajat adalah. Sin Cos Tan Nilai Cara Menghitung Contoh Soal Dan Tabel DosenPendidikanCom Fungsi trigonometri adalah fungsi dari sebuah sudut yang digunakan untuk menghubungkan antara sudut-sudut dalam suatu segitiga dengan sisi-sisi segitiga tersebut.
This site is an open community for users to do submittion their favorite wallpapers on the internet, all images or pictures in this website are for personal wallpaper use only, it is stricly prohibited to use this wallpaper for commercial purposes, if you are the author and find this image is shared without your permission, please kindly raise a DMCA report to Us.
If you find this site serviceableness, please support us by sharing this posts to your favorite social media accounts like Facebook, Instagram and so on or you can also bookmark this blog page with the title nilai cos 60sin 30tan 45 adalah by using Ctrl + D for devices a laptop with a Windows operating system or Command + D for laptops with an Apple operating system. If you use a smartphone, you can also use the drawer menu of the browser you are using. Whether it’s a Windows, Mac, iOS or Android operating system, you will still be able to bookmark this website.




